Forme Indéterminée 0 0


<



Limite D Une Fonction Forme Indeterminee Asymptote Theoreme Des Gendarmes Expliques En Video

Limite D Une Fonction Forme Indeterminee Asymptote Theoreme Des Gendarmes Expliques En Video

Evaluation De La Limite D Une Forme Indeterminee 0 0 Division Euclidienne Youtube

Evaluation De La Limite D Une Forme Indeterminee 0 0 Division Euclidienne Youtube

Limites Du Type K 0 Maths Cours

Limites Du Type K 0 Maths Cours

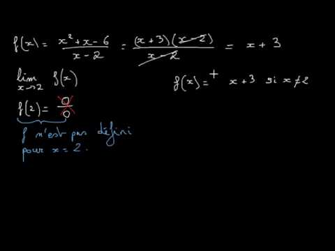
Limite En Un Point Forme Indeterminee 0 Sur 0 Fonction Rationnelle Youtube

Limite En Un Point Forme Indeterminee 0 Sur 0 Fonction Rationnelle Youtube

Evaluation De La Limite D Une Forme Indeterminee 0 0 Fonction Contenant Une Racine Carree Youtube

Evaluation De La Limite D Une Forme Indeterminee 0 0 Fonction Contenant Une Racine Carree Youtube

Limite En Un Point Forme Indeterminee 0 Sur 0 Fonction Algebrique Youtube

Limite En Un Point Forme Indeterminee 0 Sur 0 Fonction Algebrique Youtube

Limite En Un Point Forme Indeterminee 0 Sur 0 Fonction Algebrique Youtube

Limite Continuite Derivation Youtube Historique Playlist Education

Limite Continuite Derivation Youtube Historique Playlist Education

Limite D Une Fonction Avec 0 Au Denominateur Forme Indeterminee Asymptote Horizontale Verticale Youtube

Limite D Une Fonction Avec 0 Au Denominateur Forme Indeterminee Asymptote Horizontale Verticale Youtube

Evaluation De La Limite D Une Forme Indeterminee 0 0 Fraction Complexe Youtube

Evaluation De La Limite D Une Forme Indeterminee 0 0 Fraction Complexe Youtube

Les Differentes Formes Indeterminees Dans Le Calcul De Limites

Les Differentes Formes Indeterminees Dans Le Calcul De Limites

On Veut Evaluer La Limite Suivante 22 12x 3 Chegg Com

On Veut Evaluer La Limite Suivante 22 12x 3 Chegg Com

Les Limites Cas 0 Exposant L Infini Au Travers De La Fonction X Exposant 1 X Youtube

Les Limites Cas 0 Exposant L Infini Au Travers De La Fonction X Exposant 1 X Youtube

Evaluation De La Limite D Une Forme Indeterminee Infini Infini Fonction Racine Carree Youtube

Evaluation De La Limite D Une Forme Indeterminee Infini Infini Fonction Racine Carree Youtube

Limite De Suite Forme Indeterminee Zero Fois L Infini Youtube

Limite De Suite Forme Indeterminee Zero Fois L Infini Youtube

Evaluation De La Limite D Une Forme Indeterminee 0 0 Fonction Contenant Une Racine Carree Youtube

Evaluation De La Limite D Une Forme Indeterminee 0 0 Fonction Contenant Une Racine Carree Youtube

Limites La Fonction Logarithme Fiche Exercices Maths Terminale S 2019 2020

Limites La Fonction Logarithme Fiche Exercices Maths Terminale S 2019 2020

Limite Infini Moins Infini Est Une Forme Indeterminee Qu Il Faut Lever Corrige De L Exercice 1 6

Limite Infini Moins Infini Est Une Forme Indeterminee Qu Il Faut Lever Corrige De L Exercice 1 6

Fonctions Rationnelles Et Forme Indeterminee 0 0 Video Khan Academy

Fonctions Rationnelles Et Forme Indeterminee 0 0 Video Khan Academy

Methode Lever Une Indetermination Dans Un Calcul De Limite

Methode Lever Une Indetermination Dans Un Calcul De Limite

Determiner Une Limite De Fonction Du Type 0 0 En Utilisant La Derivation Exercice Important Youtube

Determiner Une Limite De Fonction Du Type 0 0 En Utilisant La Derivation Exercice Important Youtube

Source : pinterest.com